低噪声放大器(Low Noise Amplifier,LNA)广泛应用于射电天文、卫星接收、雷达通信等收信机灵敏度要求较高的领域,主要作用是放大所接收的微弱信号、降低噪声、使系统解调出所需的信息数据。而噪声系数(Noise Figure,NF)作为其一项重要的技术指标直接反映整个系统的灵敏度,所以LNA设计对整个系统的性能至关重要。
1 GPS接收机低噪声放大器的设计
设计的LNA主要指标为:工作频率为1 520~1 600 MHz;噪声系数NF<O.50 dB;增益G>16.0 dB;输入驻波比<2;输出驻波比<1.5。
1.1 器件选择
选择合适的器件,考虑到噪声系数较低、增益较高,所以选择PHEMT GaAsFET低噪声晶体管。在设计低噪声放大器前,首先要建立晶体管的小信号模型,一般公司都会提供具有现成模型的放大器件。这里选择Agilent公司的生产的ATF-54143。1.52~1.60 GHz频带内,设计反τ型匹配网络,该匹配网络由集总元件电感、电容构成。选择电感时,要选择高Q电感。为了在模拟仿真中能够与实际情况相符合,选用Murata公司的电感和电容模型。这里选用贴片电感型号为LQWl8,贴片电容型号为GRMl8,电感LQWl8在1.6 GHz典型Q值为80。
1.2 直流偏置
在设计低噪声放大器中,设计直流偏置的目标是选择合适的静态工作点,静态点的好坏直接影响电路的噪声、增益和线性度。由电阻组成的简单偏置网络可以为ATF-54143提供合适的静态工作点,但温度性较差。可用有源偏置网络弥补温度性差的缺点,但有源偏置网络会使电路尺寸增加,加大了电路板排版的难度以及增加了功率消耗。在设计实际电路中,要根据具体情况选择有源偏置网络,或是电阻偏置网络。就文中的LNA而言,考虑到结构和成本,这里选择电阻无源偏置网络。采用Agilenl的ATF54143,根据该公司给出的datasheet指标,设计Vds=3.8 V、Ids=ll mA偏置工作点。因为在电流为llmA时ATF-54143性能较好。电阻R3为100 Ω;R2为680 Ω;R1为60 Ω,如图1所示。

1.3 稳定性设计
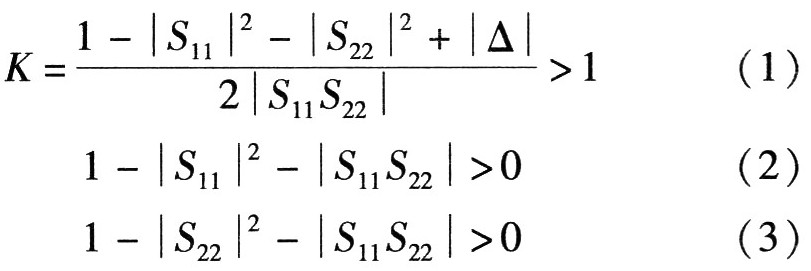
放大器的稳定性是放大器中需要考虑的重要因素。需要在工作频率下绝对稳定,有两种方法可以判断该器件是无条件稳定。第一种方法

第二种方法:用s参量组合成的检测标准,只有单一参量μ,其定义为

要使电路稳定通常有两种方法:第一种,在场效应管漏极端加阻性负载,能够在很宽的频段内使器件产生等阻抗,从而获得宽带稳定性。其缺点是阻性终端要消耗一些能量,降低输出功率;第二种,在源极与地之间加电感,可引起串联负反馈,使器件增益下降,但稳定性提高了。在微波电路中,源极负反馈可以是电感集总元件,也可以是一段短传输线,本设计采用前者。
仿真结果如图2,图3所示,可以看出在l 520~l 600 MHz的范围内输入输出及整体稳定性都>1,因此电路在带内稳定。


1.4 输入输出阻抗匹配电路设计
在设计LNA时,输入匹配不能采用共轭匹配方法,而是采用最佳源反射系数噪声匹配。输入阻抗匹配网络电路由C4和L5组成,如图3所示,网络可以有效降低回波损耗,并提高增益和频带内的稳定性。L1起到通直流和扼交流的作用,C1起到射频旁路的作用。电感L1和L5的Q值对输入端降低电路损耗和减小NF(2)有重要作用。低电感Q值会增大输人噪声,从而影响整个电路的总噪声。
而输出匹配采用共轭匹配设计。输出阻抗匹配网络由C6和L7组成,如图4所示,降低回波损耗,提高增益。C2起着射频旁路作用,C5起着电源去耦作用。
用Smith软件简单求得匹配网络集总元件的值后,再用ADS软件进行优化。优化时,要注意几点:首先通过调谐功能手动调整各个器件参数,知道哪些器件参数对电路指标影响较大,对于敏感的器件参数要小心处理;其次设定优化目标;最后,优化时,要避免自激振荡。
1.5 LNA电路的整体优化
对直流偏置设计、稳定性设计和匹配网络设计后,LNA结构基本固定,但为了达到各项指标要求,还需要优化各个器件的值,而且要考虑实际电路微带线、短路接地、过孔的影响,所以还需对电路进行整体仿真优化。
通常在射频电路中,使用的是微带线传输信号,需要注意微带线的宽度,宽度的大小决定特性阻抗。对于输入输出端口通常采用50 Ω特性阻抗。在本次设计中,选用板材是相对常数为2.65,厚度为1 mm的PTFE。利用Agilent公司的Appcad软件,可以计算出微带线的宽度为2.57 mm。
对LNA电路优化时,优化指标的设置要合理。优化指标过程中,要充分利用调谐功能,先知道参数的大概数值,然后在此基础上对各项参数优化,直到达到理想效果。最终仿真结果如图5所示。

1.6 测试结果
图6为实际低噪声放大器实验板,并用矢量网络分析仪和噪声仪测试,测试结果显示:Gain>16.0 dB;NF(2)<0.5 dB;输人驻波比<2;输出驻波比<1.5。实验结果与仿真结果基本吻合。

作者:石超 孙保华 魏云飞 朱铖

粤公网安备 44030902003195号