1.引言:
Ansoft Designe采用了最新的视窗技术,将电路仿真和电磁仿真集成到一个环境中,它可以与和电磁仿真工具HFSS,Q3D,Slwave进行动态连接和协同仿真,还可以在Ansoft Designe环境中直接启动HFSS,Q3D,Slwave并运行。协同仿真能够很快地计算优化出双工器的电气性能和结构参数,能够对交叉耦合极性,双工器的远端谐波进行精确的仿真,从而降低研发试制工作量,缩短研发周期。
2.协同仿真流程
在本文中我们以一个GSM的基站双工器为例子,来说明Ansoft Designe与Ansoft HFSS协同仿真双工器的流程。
我们先将双工器的仿真分为以下几个步骤:
(1)单腔Q傎,本征频率f0的仿真,利用对称性使被求解的问题最小化。

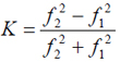
(2)窗口的初步仿真(耦合系数K的仿真),应用Ansoft Designe与Ansoft HFSS协同仿真,采用激励模求解方式,使求解的目标值在更短的时间内收敛,得到更加精确的解。


应用公式
,分别计算出耦合系数,确定相应的腔间窗口尺寸。

(3)公共端反射时延仿真
(4)下行(Tx)输入端反射时延仿真,上行(Rx))输出端反射时延仿真。

应用公式
,计算端口延,
为归一化源到第一腔的耦合系数
(5)在HFSS中各个部件级联在一起,然后导入Designe电路模块中,如下图。

图中λ/4传输线用于修正腔间耦合用:

式中:
为外部Q值,g1为切比雪夫低通滤波器归一原型的元件值,为相对带宽。
(6)优化设置
a.设置变量
击Design properties 就会弹出如下图的对话框,设置变量:

b.设置优化
右击Optimetrics 添加Optimization

经优化,得到很满意的结果,其频响曲线如下图:



查看优化变量耦合系数M,修改尺寸后继续优化,使起M值趋向零或达到可接受值。
3.仿真与试验结果对比(实际调试时为了满足损耗将带宽扩宽)

4.结论
本文利用Ansoft Designe与Ansoft HFSS协同仿真成功地设计了上下行各为九阶的G网同轴腔体双工器,验证了Ansoft Designe与Ansoft HFSS协同仿真在微波器件设计应用领域的高效性。协同仿真中使用了手动网格剖分,对称面等功能与技巧,大大缩短仿真时间,提高仿真精度。

粤公网安备 44030902003195号