引言
RFID(Radiofrequencyidentification)是近年来兴起的一种发展迅速的自动识别技术,它利用射频方式进行非接触双向通信,以达到识别的目的并交换数据。RFID作为快速、实时、准确采集与处理信息的高新技术和信息标准化的基础,在生产、零售、物流、交通等各个行业有着广阔的应用前景。RFID技术已经被世界公认为本世纪十大重要技术之一。
RFID标签包含天线和芯片,二者均具有复数阻抗。对于无源标签来说,因为标签工作所需功耗全部来源于读写器发射的射频能量,所以天线和芯片之间能否实现良好的匹配和功率传输,直接影响到系统功能的实现,也很大程度上决定了标签的关键性能。
目前已有的阻抗匹配方法大都较为复杂,用于RFID芯片时标签识别准确率较低,效果并不理想。文中提出了一种用于无源RFID标签芯片的低成本阻抗匹配网络的设计方法,该匹配网络集成于标签芯片内,结构简单,在标签天线和芯片之间以及标签和读写器之间实现了最大的功率传输,改善了芯片性能并提高了读写器对标签反射信号的识别率。
1 RFID标签阻抗匹配分析
1.1.1 RFID原理与标签组成
常见的RFID系统主要由读写器和标签组成。读写器向标签发送射频连续波(Continuous2wave,简称CW),激活标签芯片并将命令和数据调制到射频电磁波中。处在读写器电磁场范围内的标签通过倍压整流电路将较小的输入电压提升到可供标签芯片正常工作所需的电压值,并将交流转变为直流;由于芯片输入电压变化范围较大,导致输出电压不稳定,需要加入稳压电路;标签解调模块从接收到的射频连续波中解调出命令和数据,送到数字基带模块;数字基带模块按照协议,根据接收到的指令完成数据存储、发送或其他操作[4];返回数据时,标签通过改变自身的阻抗改变天线的反射系数,将调制反射信号发回给读写器。时钟产生电路提供芯片工作所需时钟频率,并通过读写器发送的时钟校准信息校准,实现时钟同步;上电复位电路一方面对基带处理器进行复位,另一方面为调制反射电路提供使能信号。
图1所示为RFID标签系统的结构框图,芯片包含射频模拟前端、数字基带和非易失性存储器(NVM)三部分,其中射频?模拟前端基本功能模块包括:阻抗匹配、倍压整流、调制、解调、稳压、上电复位、时钟产生等。

图1 射频识别标签系统结构框图
1.1.2 阻抗匹配分析
图2所示是标签的戴维宁等效电路,已被很多研究者用来解决各种天线问题。其中射频信号在天线上感应出的开路交流电压是Va,芯片输入电压是Vc,天线输入阻抗Za=Ra+jXa,芯片输入阻抗Zc=Rc+jXc。而芯片输入阻抗的实部主要由倍压整流电路和负载决定,虚部主要由倍压整流电路、调制解调电路和ESD决定。Za和Zc都随工作频率的变化而变化,而且在实际应用中,不同的输入功率下Zc的值也有差异。本文在输入功率等于芯片正常工作所需最小功率的情况下,完成阻抗匹配网络的设计。为了得到最大功率传输,芯片的输入阻抗必须和天线共轭匹配。

图2 RFID标签等效电路图
L型匹配是实现射频到直流高效率转换时使用的一种阻抗匹配方法,通过串联的电感和芯片中的电容谐振的方法,达到匹配的目的。对于RFID标签芯片来说,在很小的面积内集成电感是不现实的。因此,通过下文的方法对芯片的输入阻抗进行修正,达到利用电感La进行L型匹配的目的。
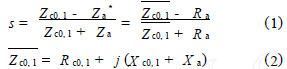
两个具有复数阻抗的器件直接相连的情况下,接口处复功率波反射系数定义为s,应用于RFID标签可得:

芯片在和天线阻抗共轭匹配(状态0)和失配(状态1)时对应的输入阻抗分别为Zc0和Zc1,通过阻抗修正,天线阻抗的虚部被加入芯片内,修正后的天线阻抗只保留了实部Ra,如图3所示。芯片的输入电压可由公式(3)计算:

由于无源RFID芯片工作所需能量完全来自于空间电磁场,所以输入电压Vc具有足够高的值是倍压整流电路能够开启并提供正常工作电压的关键,也是决定标签工作性能的重要参数。

RFID标签的RCS(雷达散射截面)是芯片输入阻抗的函数,由经典的雷达方程可得RCS的值:

其中K是波长,G是标签天线增益,两种芯片输入阻抗状态下对应的不同的RCS值可以让读写器从调制反射信号的幅度上分辨标签发送的数据。矢量微分RCS更进一步让读写器探测到调制反射信号的相对相位特性。以△V来标注该矢量的模:

2 提出的阻抗匹配网络
2.1.1 原理分析
当标签工作在923MHz频带,芯片处于最小输入功率,未调制状态的情况下,使用安捷伦E5071C网络分析仪实测未加入阻抗匹配网络的芯片输入阻抗为22-j106欧。根据芯片输入阻抗特点,选用Q值较大的标签天线。天线的输入阻抗为15+j88欧,阻抗匹配网络的设计如图4所示,其中La=1512nH。

开关K1断开时,芯片处于状态0。在图5所示的从标签芯片输入阻抗到天线的共轭阻抗的匹配路径上,点1处阻抗为22-j106欧;并联电容Ccm后与158等电阻圆交于点2,阻抗为15-j888;再串联电感La到达点3,其阻抗为158,与修正过后的天线阻抗Ra共轭匹配。经计算可以得到Ccm=340fF。

天线和芯片接口处没有复功率波反射,芯片和天线的共轭匹配使天线将从空中接收到的射频能量的一半传递给芯片,达到功率传输的最大化。开关K1闭合时,芯片处于状态1。图6所示为标签芯片输入阻抗变化的路径。

2.1.2 性能比较
在未进行阻抗匹配的情况下,芯片Qc的值为4182;加入阻抗匹配网络后,在芯片和天线阻抗共轭匹配状态下,Qc增大到5187,由公式(3)可得芯片获得的交流电压Vc增大到原来的111倍,改善了芯片的性能。
通过比较可知,本芯片的矢量微分RCS的模值要大1015dB,大大改善了标签反射信号的可识别性,提高了读写器对标签识别的准确率。
2.1.3 电路实现
阻抗匹配网络由电容Ccm和开关K1两部分组成,如图7所示。为了保证两个天线引脚间电路的对称,Ccm采用两个电容并联的形式,每个大小为170fF;K1由两个PMOS开关管组成,PMOS由基带信号经过电平转换电路(图7中A部分)后驱动,因此PMOS的栅极可以获得更高的栅压,保证关断状态可靠截止;B部分为上电保护电路,保证数字基带给出的上电复位信号处在稳定状态下芯片才能进入调制反射,避免了由于数字基带电路复位前状态不确定而导致芯片在无法获得工作能量的情况下反射。PMOS开关管和NMOS上电保护管均采用网状栅极结构,增大MOS管的宽长比,有利于减小MOS管的电阻和寄生电容。

3 测试结果
所设计的RFID标签芯片基于chartered0135Lm2P4M、低阈值CMOS工艺流片,芯片尺寸1026Lm×1796Lm,图8为芯片的显微照片。实际使用过程中,芯片仅有两个引脚与天线相连,图中所显示的其余引脚均为测试所用,连接对应的模拟或数字信号。

倍压电路的输出电平是决定RFID芯片工作性能的重要指标,采用本阻抗匹配电路的芯片在输入交流电平仅为300mV时,输出直流电平可达1147V,完全满足芯片正常工作所需电平要求。1800026C中规定的RFID工作频带为860~960MHz,与我国的规定[11]在920~925MHz频段相重合,因此所设计的RFID标签工作在923MHz频带。
使用Impinj公司的speedway读写器,设置发送功率为2WERP,标签天线增益115dBi,在自由空间中进行测试。使用安捷伦1682A逻辑分析仪测试信号波形如图9,图中“clk-240k”为系统工作时钟,频率为240kHz;“din-dump”为解调输出信号;“d-out”为调制输出信号。测试表明,采用该阻抗匹配网络的标签在和读写器通信的过程中,误码率低于10-4,标签的一次识别更为准确。

4 结论
提出了一种符合ISO1800026C标准的无源RFID标签的低成本的阻抗匹配网络。电路结构简单,在读写器、标签天线和芯片之间实现了功率传输的最大化。采用该阻抗匹配方法的标签芯片已通过chartered0135LmCMOS工艺流片验证。理论分析和实测结果都表明,该方法有效的改善了芯片性能,提高了读写器对标签识别的准确率,标签满足系统设计要求。

粤公网安备 44030902003195号