1 引言
惯性导航系统具有完全自主性、全天候和抗外界干扰等特点,可以提供完整的导航定位参数,己广泛地应用于各种运载体的导航定位中。作为核心元件的陀螺仪,它为系统提供坐标基准,用于测量载体的姿态和方位信息。因此其性能将直接影响惯性导航系统能否正常、可靠地工作,所以研究陀螺仪的可靠性尤其是陀螺仪的寿命是十分重要的。由于陀螺仪具有小批量、高成本的特点,人们力图通过少量陀螺仪完整寿命试验期间有关参数的监控、陀螺仪运行状态分析等,建立陀螺仪寿命预测模型和可靠性评估方法,以期研究出基于部分寿命周期(如10%)试验数据的陀螺仪可靠性评估方法。为此,结合有关课题,以动力调谐陀螺仪为例,研制陀螺仪寿命试验测试系统。本文介绍该测试系统中陀螺仪测量用的数字式功率计的设计和精度分析。
由于陀螺马达的功率变化量比较小,要对其功率变化进行分析,必须能分辨出10mW的功率变化[1]。根据公式P=UI可知测量功率需要计算电压和电流的乘积,目前常用的方法有模拟乘法器、时分割乘法器和采样后由计算机处理即数字式方法等。其中模拟乘法器由于其线性度和温漂等问题精度不高,一般只用于普通的功率表。时分割法将脉冲宽度与脉冲幅度调制相结合,测量精度高,但是电路复杂,研制时间长,而且误差随信号源频率的增加而增大[2]。数字式方法采用数据采集卡将电压电流转换为数字量,然后输入计算机进行计算,具有精度高、开发周期短、后续处理方便等特点。本文介绍的数字式功率计就是采用这种方法,通过PCL818数字采集卡采集动调陀螺电机的电压、电流来计算功率,所设计的功率计可动态显示测得的功率、电压和电流。实验结果表明这种方法能够分辨出10mW的功率变化,而且精度比较高,误差不超过全量程的0.2%,并且这种方法可被应用推广到测量其他微电机的功率、电压和电流。
2 测量原理
设信号的电压和电流分别为v(t)和i(t),则在测量时间T期间内的平均功率为:![]()
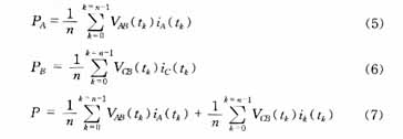
若对电压和电流信号同时进行采样并转换为数字量,便可计算其瞬时功率,通过计算多点瞬时功率的平均值即可求得平均功率。设tk时刻的电压和电流分别为v(tk)和i(tk),则信号的平均功率可以表示为:![]()
其中n是时间T内的采样数。如果采样时不能保证同时性,则由式(2)所得的功率值不等于式(1),其差值是由所谓的截断误差造成的。取尽可能多的采样点数作平均可以减小截断误差。若陀螺马达的激励为正弦信号且其电压为V电流为I,如果采样频率是该信号频率的4倍以上,则最大的截断误差EMAX为[3][4]:![]()
其中c是T时间内输入信号的周期数,γ可由输入信号的频率f得到:γ=2πf/fs,fs为采样频率。如果能保证T-cf<fs,则最大的截断误差可由下式给出:![]()
可见此时的截断误差与输入信号的周期数无关而与T时间内的采样点数n成反比,因此可采用加大采样点数的方法来减小截断误差。
陀螺马达相当于一个三相电机,要测量其功率一般采用二瓦计法,即需要用两个功率表测量马达AB相电压和A相电流及CB相电压和C相电流的功率,然后相加即是马达的功率。如图1所示三相电机的总功率为两个功率表WA、WB的示值PA和PB之和。

3 系统组成
本文所设计数字式功率计的系统组成如图2所示。电压、电流必须经过转换以满足模数转换器ADC的输入范围。模数转换由PCL818数据采集卡来完成,该卡具有16通道(单边输入)/8通道(双边输入)12位的A/D,通过跳线可以设置为不同的输入模式,这里采用8通道模式。其中2个通道采集电压,2个通道采集电流。由于PCL818采用分时采样,所以其前面加了采样保持电路,以保证其采样的同时性。采样保持电路的控制信号由主机绐出。

实际电路中待测电压、电流并不符合PCL818的信号输入要求,因此需要采样电路首先将电压电流转换到PCL818的输入范围内。PCL818的输入范围可根据需要选择±5V和±10V,这里选为±5V。电压信号和电流信号分别用电压互感器和电流互感器转换到相应的范围。
整个系统的软件由C语言编写,主要功能包括:
(1)PCL818L数据采集卡的初始化。将其设置为软触发模式,采样频率为20k。
(2)数据的读取和功率计算。由式(2)来计算其平均功率,并进行误差补偿。采样点数取10000点。
(3)数据的显示和保存。按要求显示功率或者电压、电流,并将电压、电流和功率保存起来以供后续分析。软件程序框图如图3所示。
4 误差分析
测量功率的误差除了前面分析过的截断误差,还包括采样量化过程中造成的误差以及硬件设备的缺陷造成的误差等。A/D转换前的信号调理需要仔细选择元件,电流互感器和电压互感器的线性误差要尽量的小。对于模数转换造成的误差,可以这样来估计,由于正弦信号其电压的峰峰值为22Vrms,若考虑到畸变波,其最高值可取2×22Vrms,12位的A/D共有4096级,考虑到量化误差,则A/D转换器的精度约为0.14%RMS,综合信号调理部分,误差应该控制在0.2%以下。实验结果如表1所示,可见误差基本可以控制在0.2%以下。

5 结论
根据上述方案设计的数字式功率计,通过实验和工程应用表明,测量精度比较高,误差不超过量程的0.2%。可以满足项目需要。该方法还可适用于其他一般微电机的功率和电流、电压的测量。如果采用16位A/D转换器,还可以进一提高测量精度。


粤公网安备 44030902003195号