本文说明了使用示波器和波形发生器对元器件进行测试的方法。将展示电容、电感、二极管、双极晶体管及电缆的测试过程。这些测试方法可用于确定故障部件或识别无标注元器件的作用。
测试配置
本测试案例的基本理念是通过波形发生器在该元器件上施加一个激励,并通过示波器测量它的响应。安捷伦InfiniiVision X系列示波器采用内置波形发生器,可为元器件测试提供便利的“一体化”解决方案。应当注意的是,示波器不能完全替代专用的元器件测试仪,后者能提供更高的精度和更全面的测试。然而在实际测试中,一般没有现成的专用测试仪。在这种情况下可以选择使用较为常见的设备来测试元器件,以作权宜之计。本例涉及到了示波器和波形发生器。
图1显示了测量配置。波形发生器连接到示波器输入端,另一支路连接至被测件(DUT)。对于表贴元器件的测试,推荐使用安捷伦11060A(或相近产品)进行测试。通过波形发生器的50Ω内阻,对被测件施加电压。通过示波器输入通道测量被测件上的电压。该示波器受到波形发生器的触发。安捷伦X系列示波器内置了触发连接,无需使用额外的电缆连接和触发配置设置。用户只需选择波形发生器作为触发源即可完成触发。
电容和电感测试
图2显示了示波器在没有连接被测件时的配置和测量。取平均法可以降低噪声进而提高精度。打开Min、Rise和Fall(10-90%)自动测量,触发点的位置设在左侧。

图2:电容和电感的测试与测量(未连接被测件时)。
使用一个10Hz、100mVpp的方波作为激励。针对被测件进行低电压在线测试,无需再连接偏置半导体器件。这种低电压测试还可以最大程度减少极化电容中可能会降低测量精度的反向泄漏电流.
电容测试
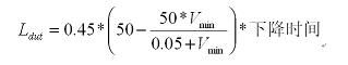
电容作为被测件时,电路配置为典型的电阻-电容(R-C)结构,其中R是函数发生器的50Ω内阻。示波器的输入阻抗为1MΩ,远远超过波形发生器的50Ω内阻(可以忽略后者)。在测量上升时间(10-90%)时,根据下面公式可以算出被测件的电容值:
公式1

为了获得最精确的测量结果,必须对测试系统的电容进行测量,并考虑它对测试的影响。在确定值时,我们建议首先测量一个已知的、精确的1nF电容,随后在测量结果中减去1nF即为值。图3显示了1nF电容测量。通过上升时间测量(图3)可计算出电容值是1.24nF,因此值约为0.24nF。

图3:1nF电容的测试与测量。
必须认真调整示波器的s/div设置以便显示完整的跳变;但不能将显示速度调得过慢,否则会导致分辨率不足、无法精确地测量跳变。根据实际经验,最好将s/div设置在已测上升时间(或下降时间)的1/2~2倍之间。假设已测上升时间是175ns,则s/div应当设为100ns/div或200ns/div。
求出值后,可进一步对大于1nF的电容进行测试。因受到波形发生器的频率限制,可测得的电容数值上限为100uF。降低波形发生器的频率即可测试较大的电容数值。图4显示了47nF电容测量。在本例中,推算出的电容值是45.9nF。

图4:47nF电容的测试与测量。
请注意,边沿跳变开始时会出现“尖峰”。在激励边沿通过测试系统电缆到达被测件并返回的过程中会出现这个尖峰。它是导致无法精确测得低于1nF的电容值的主要原因。通过对被测件进行较短的连接(<6英寸)可以降低尖峰的干扰,从而能够测试低至250pF的电容值
电感测试
电感作为被测件时,电路配置为电阻-电感(R-L)结构。本例将会测量下降时间。通过测量可得到电感的直流电阻(DCR)。将DCR添加到波形发生器的50Ω输出电阻中,可确定R的总值。电感与下降时间的关系可由下面公式得出:
公式2

波形发生器的上升时间把可测得的最小电感值限定为10uH,其上限取决于电感的DCR。DCR过高时,示波器无法自动测量下降时间。在这种情况下需要手动测量下降时间。
图5显示了1200uH电感测量。需注意的是,因为受到电感的DCR影响,直流电压明显下降。电感值约为1208uH。故障电感或电容会得出错误的数值,或是显示为开路或短路。开路被测件的图像如图2所示,而短路被测件则像是一条水平线。

图5:1200uF电感的测试与测量。
二极管和双极晶体管测试
图6显示了示波器在未连接被测件时的配置和测量。对于二极管测试,波形发生器可配置为一个+/-2.5V的斜波信号(100Hz时)。这种低频测试需采用高分辨率模式来降低噪声。同时还要打开Max和Min自动测量,触发点的位置设在中间。

图6:二极管测试与测量(未连接被测件时)。
这种测试方法与传统的曲线追踪仪不同。曲线追踪仪可以绘制被测件的电流与电压。采用这个测试方法时,示波器的水平轴表示波形发生器的电压,垂直轴表示被测件上的电压。与曲线追踪仪不同的是,波形发生器的幅度较低,不适合测试反向击穿电压。
该测试方法可对被测件施加大量的电流。假设二极管两极的电压下降0.7V,那么波形发生器的50Ω输出电阻上会存在最大1.8V的电压。这意味着流经二极管的电流最大为36mA。如果被测件无法容忍这个电流电平,那么就必须降低波形发生器的幅度
二极管测试
现在我们介绍几种不同的二极管测量。图7显示了通用硅二极管测量。不出所料,该二极管在大约0.5V的正向偏压时导通,最高需0.7V。

图7:通用硅二极管测试与测量。
以图8中的小信号二极管为比照,小信号二极管的正向偏压斜率较大,因而具有较高的导通电阻特性。图9显示的是一个肖特基二极管,这类二极管需要较低的导通电压值(0.26V)。

图8:小信号硅二极管测试与测量。

图9:肖特基二极管的测试与测量。
故障二极管显示为开路或短路。开路二极管的图像如图6所示,而短路二极管则像是一条水平线。LED也可通过这种方法进行测试。如果需要,通过提高波形发生器的偏置,可为LED提供更多的电压。
双极晶体管测试
双极晶体管测试可采用与二极管测量相同的方法。首先要确定发射极-基极和集电极-基极的连接能够像二级管一样运行。随后要确认集电极-发射极不会短路,也就是说要像开路电路一样运行。
电缆测试
对于电缆测试,波形发生器可配置为输出一个100Hz、0V~1V的方波,如图10所示。取平均法可以降低噪声;触发点的位置设在左侧。使用光标对波形参数进行手动测量。这种测试方法等效于一个低速时域反射计(TDR)。

图10:电缆测试与测量(未连接被测件时)。

图11显示了对长度未知的双绞线进行测量。双绞线的阻抗可通过下面公式计算:
图11:双绞线的测试与测量。
公式3

为第一个步进的电压(在触发点的步进),使用示波器光标进行手动测量而得。在本例中,是660mV,因此可算出约为97Ω(这类电缆的典型值)。双绞线的远端是开路电路,显示为突然增加的电平,即最右侧X光标所在的位置。
图12显示了对长度未知的RG-58电缆进行测试。根据测量,可得出阻抗值为51Ω。这个值是RG-58的预期值。测量结果还显示电缆的终端是短路的,此时电压回零。如果已知电缆的传播时延,可通过下面公式计算出它与短路的距离:

图12:RG-58电缆(含短路)测试与测量。
公式4
RG-58的传播时延是1.54ns/ft。通过光标可测得的值为191ns。由此得知,电缆与短路的距离是62英尺。

粤公网安备 44030902003195号