雷达散射截面是目标物体在雷达接收机方向上反射雷达信号能力的一种表示方式,其定义为在一个给定方向上的单位角弧度内目标物体散射功率与注入目标物体的功率密度之比。本文主要涉及怎样使用安立公司高性能手持式电池操作微波矢量网络分析仪以及使用此仪表中的时域门功能在现场或航线中对目标的雷达散射截面进行测量。从图1中可以看出一个目标的雷达散射截面大小可以通过比较此目标和标准散射截面(1m2)校准球对信号的反射直观的导出。当金属球体的半径远大于信号波长λ 时
>15 λ,并且球和雷达的距离R>15λ 时,此金属球的雷达散射截面与信号频率无关。

图1 雷达散射界面的基本概念
雷达方程
图2 为典型的雷达方程描述,发射信号功率Pt通过增益为 Gt的发射天线,并通过空间的衰减(距离为R)后,遇到目标并将部分信号功率(反射信号与入射信号的功率比为目标的雷达散射截面
)反射回雷达接收天线,同样经过空间衰减,通过增益为 Gr的接收天线得到功率为 Pr, Pr与以上这些参数的关系在图3方程中表示。

图2 典型雷达方程,
这里发射和接收天线分开了一个β角,单站雷达的发射和接收天线处于同一位置(β=0),目标与雷达的距离为R,信号的极化与发射和接收天线的极化相关

图3 雷达散射界面测量框图
Pt=雷达发射功率
Pr=雷达接收功率
Gt=雷达发射天线增益
Gr=雷达接收天线增益
Gσ=目标雷达散射截面等效增益
Ae=雷达接收天线有效面积(m2)
R=目标距离
λ=信号波长
=目标雷达散射截面积(m2),(定义为
,其中k 为常数)
这里雷达散射截面积可以通过

这里k是常数

由以上方程得出,只要测得
,我们即可以推导得到目标雷达散射截面积
,如果我们将发射天线和接收天线分别接在矢量网络分析仪的测量端口1 和端口2,那么
测量等同于S21 测量,而由于k 是常数与被测目标无关,因此我们只要对标准球进行校准测量即可以得到在测量条件下(测量距离和测量频率)的k 值。矢量网络分析仪一般采用频率扫描测量,在此测量模式下我们可以通过傅立叶反变换得到时域(距离域)测量结果(类似于脉冲雷达),通过将不是目标(不同的距离)的反射响应滤除的方法,可以提高测量准确度。
矢量网络分析仪测量雷达散射截面
矢量网络分析仪以图5所示方式以频率扫描测量S 参数。扫描的频率范围以相应的雷达频率范围为参考,图5 中采用WR-90 波导在X波段(8.2-12.4GHz)进行测量。

图5,MS2028C使用波导天线进行散射界面测量
图6 为矢量网络分析仪测量雷达散射截面的典型连接框图。发射天线和接收天线分别接在矢量网络分析仪的两个测量端口上。一般来说这两个天线应处于同一平面上(相对于被测目标来说),并相互贴近。如果需要考虑极化影响,无论发射天线和接收天线应该可以单独或同时90 度旋转(如图5 中波导天线的E 面和H 面旋转)。被测目标应置于低反射的支架上或者单独在空中(航线上)。为了滤除其他位置的物体反射造成的测量误差,我们可以采用频率扫描测量并进行傅立叶反变换得到时域(距离域)测量曲线,使用时域滤波运算(时域门功能)将不属于被测目标的反射滤除,然后,将滤波后的结果再进行傅立叶变换转为频率域显示。但是由于矢量网络分析仪采用离散频率点扫描方式,因此,傅立叶反变换会有距离折叠现象(即在一定距离后,前面位置的响应重复出现),出现折叠的时间(距离)与频率扫描测量的关系是:ta=(N-1)/(频率扫宽),这里N是频率扫描点数。因此,测量距离R一般应小于ta×C/2,此处除2是因为信号传播路径是在测量距离上的来回。

图6 矢量网络分析仪测试雷达散射界面框图
天线系统的校准
根据前面的描述,我们对雷达散射截面的测量可以归于矢量网络分析仪的S21测量,而矢量网络分析仪的端口校准(图6 中的矢网校准面),可以认为是对矢量网络分析仪本身的发射功率和接收增益的归一化,而对天线增益和空间衰减的校准一般使用校准球或校准平面金属板。当然,也可以使用其他形状的物体,只要已知其散射截面积。使用球体的好处在于其散射截面积与频率无关,而校准物体的散射截面积最好与被测目标的散射截面积相近。例如,直径1.13米的金属球体的雷达散射截面积为1m2。

图7,雷达散射截面与目标物理尺寸
测量显示
在完成矢量网络分析仪端口12项误差修正(校准)后,将天线接入测量端口并对准测量目标(或校准球体)区域,进行频率扫描测量得到S21(f),然后使用带通模式时域变换得到时域(距离域)S21(D),如图8 和图9 所示,并且可以使用时域门(时域滤波器)将不需要的反射滤除。

图8,目标区域(没有放置被测目标和校准)所有反射的时域显示

图9,在目标区域放置RCS为0.018平方米的校准球体的时域显示
测量步骤和测量运算
将对目标的雷达散射截面测量所使用的矢量网络分析仪设定为S21的测量。

图10,使用矢量网络分析仪对雷达散射截面测量设定
2.将被测目标从支架上移开,并测量支架的反射频率扫描S21(str)测量,如果目标不便移开,可以将天线同时(包括发射天线和接收天线)转到一个空旷位置,并保证在相同的距离上没有其他物体存在。如图10 中表示的校准区域。
3.将频率扫描S21(str)结果转换为时域,同时将时域门设置在目标位置,并调节门宽将目标的所有反射均包含在内,将时域滤波后的结果保存至仪表内存。
4.如果目标无法从支架上移开,应保证支架本身的反射S21(str)较反射目标低20dB以上(S21(str)+20dB<< S21(tgt))。为达到此目的,可以采用在支架上包覆微波吸收材料的方法。
5.将标准物体置于目标区域,测量标准物体频率扫描的S21(std),并将结果转换为时域,同时将时域门设置在目标位置,并调节门宽将目标的所有反射均包含在内,将时域滤波后的结果保存至仪表内存。注意,标准物体的雷达散射截面应接近目标雷达散射截面。
6.将被测目标置于目标区域并移开标准物体,测量标准物体频率扫描S21(tgt),并将结果转换为时域,同时将时域门设置在目标位置,并调节门宽将目标的所有反射均包含在内,将时域滤波后的结果保存至仪表内存。
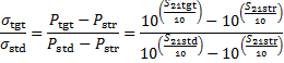
7.雷达散射截面运算方程:

这样,
,
, 
由于
,所以 
因此,
,如果支架的反射较大,并且标准物体也是放在支架上进行校准测量的。那么,

由于
已知,我们即可以得到
,例如,
图11 中的目标与图9中直径为6英寸的校准金属球体相比较(参考光标读数),知道
,
,
,根据
,得到 

图11,测量一个直径为12英寸的金属球体的S21时域曲线
信号极化
反射信号的极化方向可能与雷达发射信号的极化方向不同,目标的形状不同反射的极化也会不同,见图2 中的Et 和Er描述。
为了修正极化误差,我们可以分别测量目标在垂直和水平极化情况下的雷达散射截面,这样我们就可以建立散射截面极化矩阵。所要做的是,在一种发射极化(垂直或水平)情况下,测量两种极化(垂直和水平)的S参数。
| 发射 水平极化 垂直极化 |
接收 水平极化/垂直极化 水平极化/垂直极化 |


Et 与Er的关系为


这里Sxx为上面提到的4 种不同状态测得的S参数
发射垂直极化,接收垂直极化
发射垂直极化,接收水平极化
发射水平极化,接收垂直极化
发射垂直极化,接收垂直极化根据上面的描述,对于4 种状态下得到的S参数,我们也可以推出类似的雷达散射截面矩阵

如果发射天线是垂直极化的,那么
,并以此类推。
粤公网安备 44030902003195号