学个Antenna是以天线仿真和调试为主,理论原理为辅的干货天线技术专栏,包括天线入门知识以及各类天线的原理简介、仿真软件建模、设计、调试过程及思路。如有想看到的内容或技术问题,可以在文尾写下留言。

天线是在无线电设备中用来发射或接收电磁波的部件,它可以把传输线上的导行波,转换成在自由空间中传播的电磁波,或者进行相反的变换。
天线和通信历史表
|
年代 |
历史事件 |
参与者 |
|
1844年 |
电报电子通讯的开始 |
莫尔斯 |
|
1864年 |
麦克斯韦方程无线电波原理与电磁频谱 |
詹姆斯·克拉克·麦克斯韦 |
|
1866年 |
第一条横跨大西洋的电报电缆 |
|
|
1876年 |
长途电话有线模拟通信 |
亚历山大·贝尔 |
|
1887年 |
第一个天线 |
赫兹 |
|
1897年 |
第一个实用无线(无线电)系统 |
马可尼 |
|
1901年 |
第一台跨大西洋电台 |
马可尼 |
|
1920年 |
第一个广播电台,第二次世界大战雷达的发展,喇叭、反射镜和阵列天线 |
|
|
20世纪50年代 |
广泛使用的广播电视 |
|
|
20世纪60年代 |
卫星通信和光纤光学 |
|
|
20世纪80年代 |
随着移动电话的广泛使用,无线技术重新焕然一新 |
天线在通信领域的应用最为广泛,但在地球存在的45亿年中,现代人类只存在了20万年,而包括无线通信在内的电子通信仅仅才发展了200年。
在这个历史进程中,有三位不得不提的先驱者:麦克斯韦,赫兹和马可尼。

从左到右依次为:麦克斯韦,赫兹,马可尼
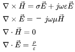
电磁波的数学和物理基础是由詹姆斯·克拉克·麦克斯韦在1864年提出的,现在称为麦克斯韦方程组,就是下面这个东西:

可以看出,如果变化的电场产生变化的磁场,变化的磁场再产生变化的电场,电场、磁场都将以波动的形式在空间中传播,这就是电磁波。麦克斯韦正是从公式中预言了电磁波的存在。可惜麦克斯韦英年早逝,1879年,48岁时的他死于胃癌。
赫兹验证电磁波存在的实验是在1887~1888年间完成的。他根据麦克斯韦理论电扰动能辐射电磁波和电容器经由电火花隙会产生振荡原理,设计了一套电磁波发生器。

第一个完整的无线电系统,由赫兹于1886年建造和测试。它包括偶极子天线和环形接收天线
为了探测电磁波的存在,他将一根铜丝弯成环状,其两端各连一个金属小球,然后将装置靠近电磁波发射器摆放。经过反复地调整环的位置以及小球的间距,终于在两个小球间闪出电火花。1894年,赫兹因为败血症在波恩去世,享年37岁,又是天妒英才!

跨大西洋无线电连接中,马可尼在500 kHz频率下首次使用的扇形单极发射天线
赫兹去世的同年,马可尼刚满20岁。有一天,他偶然读到了电气杂志上赫兹的实验介绍和论文。“电磁波可以用于通信”,这个想法如同发现新大陆般让他激动不已。于是,他马上回到家中进行相关实践操作。短短两年时间,马可尼如愿在1896年6月2日申请到了自己的无线电专利,当时名为“发射电脉冲和信号及其设备的改进”。前文三大先驱者合图中最右边那张就是马可尼与自己的发明合影。
1897年,马可尼在伦敦成立了自己的无线电报公司,很快,无线电报被应用于远洋航海业。1909年,马可尼荣获了诺贝尔物理学,此后的马可尼又陆续在短波通信、远距离定向通信、微波无线通信及雷达领域取得了不少的成就,因此后人给马可尼冠以“无线电通信之父”这个称谓。
漫漫历史长河之中,一代又一代科学家辛勤地耕耘,呕心沥血地推动着人类社会的发展和进步。现如今,老百姓日常工作生活离不开基站,终端电子产品;科学家实施探月工程,宇宙观测探索,也都离不开天线君的默默奉献。
当莘莘学子在课堂观看具象的电磁波动图时,能否想到赫兹为了验证它的存在而做出的卓绝而又富有创新性的工作?当我们用着各种仿真软件建模、扫参时,能否体会到众多理论学家为了在当时那个计算机并不发达的年代设计出各种性能良好的天线,通过双手构建起了天线原理的基石和大厦?

以上便是要给大家分享的内容,希望对大家有所帮助~~
大家持续关注“微波射频网”,后续精彩不断~
本期原创工程师:94巨蟹座少年
本文为MWRF.NET原创文章,未经允许不得转载,如需转载请联系market#mwrf.net(#换成@)

粤公网安备 44030902003195号