1.前言
无人机的安全防范和管控,已经成为无人机行业的重点内容。无人机探测解决方案已经变得非常重要。前面系列文章给出了针对无人机侦察和干扰无人机的天线阵设计,上一期文章中,我们给出一种小型化的无人机侦测天线,每个阵元都是偶极子天线,该天线阵具有体积小、增益高等特点。

图1 多旋翼无人机

图2测向天线

图3测向软件
2.偶极子阵子等效电路
对同轴馈电的的偶极子天线,同轴线的内芯连接上臂,同轴线的外皮连接下臂实现馈电和匹配,如下图所示,同轴线内芯和屏蔽层中电流方向相反,加到天线的两个臂上,刚好是同向的。
此时天线输入阻抗是一定的,而电路的端口不一定相同,这时就出现因阻抗不匹配引起的反射等一系列问题。


图4 偶极子天线馈电
可见,对于一个宽带测向系统而言,如何实现更好的阻抗匹配是非常重要的,很有必要研究偶极子天线的等效电路模型,这里先给出由3个集总元器件组成的等效电路,对其进行研究。
2.1三元等效电路
图5给出了三个元器件的构成的偶极子等效电路,该电路由一个电容、一个电阻和一个电感组成。

图5 由三个元器件组成的等效电路
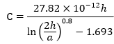
上图中的C由以下公示确定:

式中,X是天线的电抗,如果将偶极子天线的物理尺寸和X建立关系,则可以得到以下等式:

电感L和电阻R则由以下公式给出:

以上公式可以精准的计算出等效电路中的L、C值。
2.2四元等效电路
为了解决三元等效电路中R计算精度的问题,这里给出了采用四个元器件的等效电路,如下图所示。该电路由两个电容、一个电感和一个电阻组成,与三元素等效电路不同的地方是,该新电路引入一个电容和L、R构成一个新的谐振电路。

图6 四元等效电路
对应的四个元件值如下:

按照以上公式分别得到不同偶极子天线长度下阻抗误差。

图7 阵子长度为0.1波长时的电阻计算误差
下图是阵子长度0.2波长时的计算误差。

图8 阵子长度为0.2波长时的电阻计算误差
下图是阵子长度0.25波长时的计算误差。

图9 阵子长度为0.25波长时的电阻计算误差
下图是阵子长度0.3波长时的计算误差。

图10 阵子长度为0.3波长时的电阻计算误差
可知,该四元等效电路在0.3波长的范围内都具有较好的精度,满足日常工程设计要求。
3.等效电路在1.55GHz天线设计上的工程应用
3.1 偶极子天线EM模型
结合实际1.55GHz偶极子天线设计,给出应用实例。为了验证等效电路的准确性,这里使用Python建立一个简单的偶极子天线,图11和图12分别是该天线的辐射特性和S曲线。


图11 1.55GHz偶极子天线

图 12 HFSS给出的S曲线
3.2 偶极子天线的等效电路模型
首先,依据测向天线的阵子实际物理尺寸由上述公式得到对应的电容C、电感L以及电阻R参数;
其次,由各元器件参数计算得到1.55GHz偶极子阵子的阻抗。
最后,得到该等效电路的S曲线如下图所示,该等效电路的S曲线与上述的EM仿真给出的曲线十分契合,有效的证明了其在天线工作频段内的有效性与准确性。

图13等效电路给出的S曲线
图14是该等效电路给出的天线的电抗特性。

图14 1.55GHz天线的电抗
图15是对该天线阵子分别建立三元等效电路与四元等效电路后,由python计算得到的曲线图,图中蓝色曲线为四元等效电路计算误差,红色曲线为三元等效电路计算误差,可见前者较后者的误差大幅减小,意味着工程师优先使用四元等效电路对天线进行电路特性分析,实现特定频段下的阻抗匹配效果。

图15 两种等效电路计算误差对比
小结
四元等效电路有效地减小了偶极子天线阻抗的计算误差。实际应用中,工程师依据测向天线阵子的尺寸,根据上述给出的电路参数计算公式,实现快速选择匹配电路,优化天线的驻波比,改善天线的电路指标。
作者:江右射频
来源:射频问问 https://www.rfask.net/article-728.html
关于射频问问:
射频问问是在"微波射频网”系列原创技术专栏基础上升级打造的技术问答学习平台,主要围绕射频芯片、微波电路、天线、雷达、卫星等相关技术领域,致力于为无线通信、微波射频、天线、雷达等行业的工程师,提供优质、原创的技术问答、专栏文章、射频课程等学习内容。更多请访问:https://www.rfask.net

粤公网安备 44030902003195号