闫鑫1,2,李颢毅1,2,张浩1,2,季来运1
(1.天津海芯电子有限公司,天津300380;2.天津师范大学物理与材料科学学院,天津 300387.)
摘要:基于新型双模双复合左右手谐振器结构(D-CRLH),设计了一款四阶双通带高温超导滤波器,该滤波器由均匀二分之一波长螺旋耦合微带线组成。该滤波器实现了两个通带的中心频率和耦合系数独立可控,增加了滤波器设计的自由度。整个滤波器的物理电路在0.5mm厚的MgO(氧化镁)衬底上的DyBa2Cu3O7(镝钡铜氧)超导薄膜上设计。结果表明,该滤波器具有良好的带内特性,中心频率分别为1221MHz和1588MHz,通带相对带宽分别为1.06%和2.64%。
关键字:D-CRLH;双通带;MgO;DyBa2Cu3O7
1引言
超导材料的表面电阻在射频/微波频段内比传统的金属材料低大约2~3个数量级,其在射频中的损耗几近于无。由于设计的高温超导滤波器具有边缘陡度高、带外抑制好、插入损耗低等优点,因此采用高温超导材料设计的滤波器在微波性能方面有着传统器件无法比拟的优势[1]。
双通带滤波器的设计方法有很多:2010年Yong Heng等人,通过采用带通-带阻级联的方式在YBCO(钇钡铜氧)高温超导薄膜上设计一款双通带滤波器[2]。2022年秦楚等人,通过采用带阻-低通级联设计了一款双通带滤波器。这种方法虽然在设计理论上相对简单,但是会使滤波器的尺寸增大,不利于小型化,而且还要考虑两个滤波器匹配所引入的额外损耗[3]。2018年Pengyu Ma等人,通过采用一种新的耦合矩阵的技术设计了一款双通带滤波器。这种方法的优点是逻辑清晰,但耦合矩阵往往比较复杂,实现难度较大[4]。2013年Li Gao等人,提出了一种基于短截线加载的四模谐振器构成的双通带滤波器[5]。2018年张赟霞等人,设计了一款基于一种新型的开路/短路T形枝节加载圆环谐振器构成的双通带滤波器。这种方法虽然会使滤波器的尺寸变小,但是不能独立控制每个通带的带宽[6]。
本文介绍了一种四阶双通带高温超导滤波器。该滤波器两个通带的中心频率分别是1221MHz和1588MHz,通带带宽分别为13MHz和42MHz。为了满足设计要求,首先提出了一种双模双复合左右手谐振器结构,分析该谐振器结构的谐振特性,其次分析谐振器之间的耦合、馈线与谐振器之间的耦合,最后再进行物理电路的整体组合与仿真。
2谐振器设计与分析
本工作要求滤波器两个通带的中心频率分别是1221MHz和1588MHz。为了满足要求,本文采用切比雪夫滤波器的低通设计原型实现。根据广义耦合矩阵综合理论[7-9]可得耦合系数和外部品质因数如图表1所示。
表1双通带滤波器耦合系数和外部品质因数
|
通带 |
K1,2=K2,1 |
K2,3=K3,2 |
Qe |
|
1 |
0.0155 |
0.0106 |
9.871 |
|
2 |
0.022 |
0.0182 |
14.891 |
根据设计要求,本文提出了一种新型D-CRLH谐振器结构,如图1所示。该谐振器有两部分组成,分别对应图中的橙色和黄色部分,两个部分都是由均匀二分之一波长螺旋微带线相互耦合而成。该谐振器结构可以激发两个谐振频率,分别记为f1、f2。该谐振器结构的橙色部分激发一个谐振频率,也就是f1,橙色部分可以单独激发一个谐振频率。然后,在橙色部分的下方接入相同结构的均匀二分之一波长螺旋耦合微带线,对应图中的黄色部分。黄色部分也可以单独激发一个谐振频率,也就是f2。

图1 双模谐振器示意图
从图2(a)(b)中的模拟电流分布图也可以得出,当谐振频率为f1时,电流主要分在谐振器的橙色部分,当谐振频率为f2时,电流主要分布在谐振器的黄色部分,这与上面的分析结果一致。如图3所示,改变L1的物理尺寸会影响f1的数值,改变L2的物理尺寸会影响f2的数值。因此,通过独立调整该谐振器橙色和黄色部分的物理尺寸,可以独立调谐两个通带对应的谐振频率以满足本工作的设计要求。

图2(a)f1时的模拟电流分布图。(b)f2时的模拟电流分布图。
(a)

(b)
图3(a)f1与L1的关系。(b)f2与L2的关系。
该双通带滤波器需要设计在0.5mm厚的MgO衬底上的2英寸DyBa2Cu3O7超导薄膜上,MgO衬底得介电常数为9.68。计算微带线长度参数主要基于公式(1):
(1)
其中f0为滤波器的中心频率,c为自由空间电磁波传播速度,εeff为超导微带电路衬底的有效介电常数。根据本工作的指标参数,通过式(1)计算出所需的微带线长,然后通过全波电磁仿真软件仿真,得出弱耦合下单个谐振器的频率响应曲线,如图4所示。

图4 单个谐振器频率响应曲线
3滤波器的设计
3.1谐振器之间的耦合
在两个谐振器之间存在两条耦合路径,分别是通过S1之间的耦合和通过S2之间的耦合,如图5(a)所示。两个谐振器的耦合频率响应曲线及相位曲线如图5(b)所示,每个谐振器激发两个谐振频率,分别是f1,1、f2,1、f1,2和f2,2,且谐振峰中间的相位均为正值,说明两个谐振器之间的耦合为磁耦合。从图2的模拟电流密度分布图也能得出,在谐振频率为f1或f2时,电流主要分布在谐振器螺旋耦合微带线的外围,而在谐振器中间电流分布最少,因此也可以证明两个谐振器之间的耦合为磁耦合。相邻谐振器间的耦合系数基于公式(2)(3):
(2)
(3)

(a) (b)
图5(a)双模谐振器耦合布局。(b)耦合谐振器频率响应曲线及相位曲线图
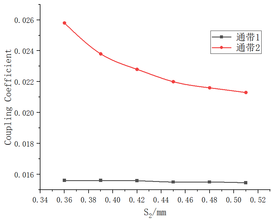
图6(a)(b)显示了两个通带相邻谐振器的耦合系数和谐振器间距的仿真结果。从图6中可以看出,随着S1的增大,第一通带的耦合系数变小,而第二通带的耦合系数基本保持不变。随着S2的增大,第二通带的耦合系数变小,而第一通带的耦合系数基本保持不变。这与前面的结果分析一致,可以独立调整S1、S2的大小,使其满足滤波器耦合系数的设计要求,增加了滤波器设计的自由度。

(a)

(b)
图6(a)耦合系数与S1的关系(b)耦合系数与S2的关系
3.2 外部品质因数
由上述分析可以确定该滤波器结构的物理尺寸和耦合系数,接下来还需要确定外部品质因数和对应的馈线位置。外部Qe值的频率响应曲线如图7所示,Qe值的计算则通过式(4)确定。
(4)

图7 滤波器外部Qe值得频率响应曲线
其中f0表示通带的中心频率,∇f3dB表示-3dB处的带宽。滤波器采用弯折抽头式馈线的外部耦合方式,如图8所示。两个通带的外部品质因数Qe1和Qe2主要和h有关,其关系如图9所示。可以看出,第一通带和第二通带的外部Qe值随着h值的增大而同时增大。因此,在设计滤波器时,根据滤波器的带宽来确定相应的h值。

图8 外部耦合布局

图9 Qe与h的关系
3.3 滤波器的仿真结果与分析
在厚度为0.5毫米、介电常数为9.68的双面DyBCO/氧化镁/DyBCO高温超导基片上,采用基于图1的双模谐振器结构和图8中的弯折抽头式馈线结构设计4阶高温超导双通带滤波器,如图10所示。该滤波器的整体尺寸为22.61*6.21mm2。最终优化滤波器的尺寸为:W=0.48、h=2.43、L1=3.28、L2=2.93、W1=0.15、D1=0.35、D2=0.45、D3=0.47、D4=0.53(单位:mm)。

图10 双通带高温超导滤波器布局图
通过全波电磁仿真软件对电路进行模拟,结果如图11所示。两个通带的中心频率分别为1221MHz和1558MHz,对应的相对带宽分别是1.06%和2.64%,插入损耗均小于0.15dB,带外抑制度高于45dB。

图11 S参数响应曲线
4 结论
设计了一款基于双模双复合左右手谐振器结构的四阶双通带高温超导滤波器。该双模谐振器由上下两部分组成,每部分都是由二分之一波长的微带线相互耦合而成。通过调整谐振器结构相应的物理参数,完成了滤波器两个通带的中心频率及带宽的独立设计,具有较高的设计自由度。
参考文献
[1] 张俊杰. 基于多模谐振器的高温超导滤波器技术研究[D].战略支援部队信息工程大学,2022.
[2] HENG Y, GUO X, CAO B, et al. Compact superconducting dual‐band bandpass filter by combining bandpass and bandstop filters [J]. Electronics Letters, 2013, 49(19): 1230-2.
[3] 秦楚,贾蓉蓉,屈文星. 一种宽带高抑制双通带微带滤波器设计[C]//中国电子学会.2022年全国微波毫米波会议论文集(上册),2022:3.
[4] MA P, WEI B, HONG J, et al. Coupling Matrix Compression Technique for High-Isolation Dual-Mode Dual-Band Filters [J]. IEEE Transactions on Microwave Theory and Techniques, 2018, 66(6): 2814-21.
[5] GAO L, ZHANG X Y. High-Selectivity Dual-Band Bandpass Filter Using a Quad-Mode Resonator With Source-Load Coupling [J]. IEEE Microwave and Wireless Components Letters, 2013, 23(9): 474-6.
[6] 张赟霞,林磊.基于多模谐振器的双通带滤波器[J].现代雷达,2018,40(08):68-71.
[7] 禹潇,张亚辉,宾峰等.L波段高性能双通带高温超导滤波器[J].功能材料与器件学报,2022,28(01):1-6.
[8] 季来运,高文斌,何立娟等.六阶极窄带宽高温超导滤波器的研制[J].中国科学:信息科学,2013,43(08):1058-1064.
[9] ZHOU L, LI H, LONG Z, et al. Design of High-Temperature Superconducting Dual-Band Filter With Multiple Transmission Zeros [J]. IEEE Transactions on Applied Superconductivity, 2019, 29(6): 1-12
本文MWRF.NET独家版权所有,未经允许不得转载!

粤公网安备 44030902003195号