引言
近年来,随着移动互联网和物联网的飞速发展, 无线移动通信历经了3G、4G 的快速发展,今天第5 代移动通信标准虽尚未正式发布,但4.5G 或Pre- 5G 已应运而生,它使用了第四代移动通信的基本技术但采用了第五代移动通信的基本架构[1,2]。
目前,许多主流电信设备商所发布的4.5G 或Pre-5G,是一种32 到256 通道的大规模天线阵列系统的基带射频一体化室外型基站,应该看到,基于4.5G 或Pre-5G 基站通道多,体积小的需求,要求功率放大器必须是一个小尺寸高集成度的模块。传统 的基站中使用的功率放大器材料LDMOS 已经不能满足大规模阵列天线基站的要求,而基于碳化硅基底的氮化镓材料由于高功率密度,高热传导和高效率等特性,可以设计成尺寸小,性能好,可靠性高的Doherty 功率放大器模块,并在4.5G 或Pre-5G 等基站中有取代LDMOS 的趋势[4,7]。
QPA2705 是采用Qorvo 公司GaN25 Die 的工艺,以及IPC3 MMIC 内匹配工艺设计并生产的集两级放大的Doherty 功率放大器模块。由于其具有高功率密度以及良好的散热属性,可将其设计成6*10mm 的laminate 表贴封装器件。基于不同功率量级的需求,本文采用了调整漏级电压的方法来平衡漏级效率与整体线性的指标要求。
1、Doherty功率放大器模块设计原理

图1、Doherty 功率放大器电路拓扑图
Doherty 电路拓扑如图1 所示[5],包含主放大器和辅放大器以及1/4 波长阻抗变换线,主放大器工作在AB 类,辅放大器工作在C 类。就本质而言,Doherty 技术就是主放大器通过1/4 波长阻抗变换线来实现有源负载调制,并以此来提高Doherty 功率放大器的效率[5]。
Doherty 功率放大器的工作区域可分三个阶段:小信号阶段、中信号阶段和大信号阶段。小信号阶段由于辅放大器工作在C 类,信号强度不足以使其工作,处于开路状态,主放大器通过1/4 波长阻抗变换线将负载变为2Ropt,从而提高负载电压以提高效率。中信号阶段由于信号逐渐增强,辅放大器开启,负载从开路状态逐步向Ropt 转变, 并开始对主放大器进行有源负载牵引,以维持最大效率不变并提高最大输出功率。大信号阶段,主放大器和辅放大器都工作在饱和状态,相当于两路AB 类放大器功率合成,此时主、辅放大器的负载均为Ropt,以维持最大效率并达到最大输出功率。
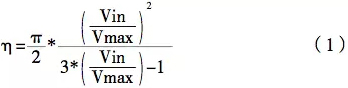
根据Doherty 功率放大器的漏级效率公式[5]:

公式(1) 所示漏级效率仅仅与Vin 相关,当Vin 与Vmax 相等的时候,可以得到最大漏级效率。对于固定的负载线匹配,只有在峰值功率的时候,漏级效率才能达到最大值,但对于现代通信系统,尤其是大规模阵列天线系统,由于采用了OFDM 调制信号,功率放大器将工作在回退模式下以满足系统对线性的要求。有源负载线匹配技术使得在功率回退模式下Vin 与Vmax 的值相同,从而提高功率放大器的漏级效率[6],图2 所示为有源负载调制曲线图[6]: 根据不同的输入信号强度,并通过1/4 波长线实现主放大器的负载斜率的改变,以达到最大的Vin。
根据有源负载调制的原理以及公式(1),可以得出如图3 所示Doherty 功率放大器在一定回退功率范围内的漏级效率曲线图[5],而如图4 所示为传统的AB 类放大器的漏级效率曲线图[5],从而可以得出Doherty 功率放大器在一定的回退功率范围内,可以维持最大效率。

图2、有源负载调制曲线图

图3、Doherty 漏级效率曲线图

图4、AB 类放大器的漏级效率曲线图
2、电路分析及设计指标要求
2.1、QPA2705 电路分析
QPA2705 是基于碳化硅基底的氮化镓材料以及IPC3 MMIC 内匹配工艺,采用低成本的Laminate 表贴封装技术设计成一个尺寸仅为6*10mm 的可应用在大规模阵列天线系统中的高集成度Doherty 功率放大器模块。如图5 所示为其内部结构框图,包含了驱动放大器,主放大器和辅放大器以及1/4 波长阻抗变换线,是一个两级放大并且输入输出50 欧姆内匹配的Doherty 功率放大器模块。

图5、QPA2705 内部结构框架图
QPA2705采用了非对称的结构来提高回7.5dB 退功率时的效率[7]。传统的Doherty 功率放大器的最大效率是在6dB 功率回退点 [5],非对称结构的Doherty 可以根据不同峰均比的信号,通过选用合适的输入功率和不同的主辅饱和功率配比,可以使得Doherty 功率放大器在回退信号峰均功率比值时,正好达到最高效率点。QPA2705 针对7.5dB 峰均比的LTE 信号,主、辅放大器选用1:1.2 的功率配比,从而能够在7.5dB 峰均比的情况下,达到最大效率点。
QPA2705 采用了反向结构来提高工作带宽[8]。传统的Doherty 功率放大器中的1/4 阻抗变换线通常放在主放大器后面,以起到负载牵引的作用,但由于不同频段的阻抗变换线的长度不一样以致限制的工作带宽。针对2496MHz 到2690MHz 的工作带宽以及3*20MHz 的信号带宽,QPA2705 采用了反向Doherty 结构,把1/4 波长阻抗变换线放在辅放大器后面,仅仅通过主放大器的内匹配以及相位延长线来实现有源负载变换,以达到最大工作带宽性能指标要求。
电路分析及设计指标要求
2.2、QPA2705 设计指标
QPA2705 主要是为4.5G 或Pre-5G 大规模天线阵列系统设计的功率放大器模块,具有高集成度, 高带宽,高效率,高线性,小型化等优点,并可以根据 不同数字预失真系统调节漏级电压以同时满足效率与线性的要求。根据3GPP 的指标要求[9],设计指标如表1所示。
表1、设计指标

3、电路测试及分析
3.1、基本射频性能测试
功率放大器的基本射频性能取决于输入输出匹配以及供电电压和静态偏置的状况,为了使器件在一定的功率范围内效率更高,可以选取不同的供电电压和静态偏置来折中漏级效率和整体线性的要求。
测试指标要求以及本测试条件:在2496MHz 到2690MHz 频段范围内,测试指标要求驻波小于-10dB,增益大于34.5dB,3dB 压缩点大于45dBm。
本测试条件是在24V 漏级供电电压和-4.33V 辅放大器偏置电压,驱动级静态工作电流50mA,主放大器静态工作电流50mA,饱和功率测试信号是采用8uS/80uS 的脉冲信号,测试频率范围2500MHz 到2700MHz,测试环境温度是25 度,以及外加风扇以保持温度恒定。
表2 是采用Agilent E5071C 矢量网络分析仪对S 参数测量和采用E4438CESG 信号发生器以及E4417A 功率计进行测量的结果。
表2、S 参数和3dB 压缩点测试结果

由测试结果可以看出,在2500MHz 到2700MHz 频段范围内,输入端口的反射系数都在-10dB 以下,小信号增益在35dB 左右,平坦度在0.3dB 以内,3dB压缩点功率在45dBm以上。此数据可以满足设计指标要求。
电路测试及分析
3.2、线性校准测试
应用在大规模天线阵列系统中的功率放大器对 线性度的要求极其严格,目前大部分厂商采用数字预失真的方法来提高线性度。本文使用ADI 公司带有数字预失真功能的收发模块对QPA2705 进行线性化处理,配合使用方法:由于收发模块的驱动能力不足,需配有驱动放大器作为预驱动,然后对QPA2705 进行数字预失真线性校准。
测试指标要求以及本测试条件:根据3GPP 在2496MHz 到2690MHz 频段范围内的指标要求,在数字预失真校准后,邻道功率比要小于-45dBc。
本测试条件是根据不同功率量级调整漏级供电电压,辅放大器的偏置电压为-4.33V,驱动级静态工作电流50mA,主放大器静态工作电流50mA,测试信号是7.5dB 峰均比以及3*20MHz 的LTE 信号,测试环境温度是25 度,以及外加风扇以保持温度恒定,在34dBm 到37dBm 采用24V 供电,37dBm 到38dBm 采用26V 和28V 供电,以此来提高效率并保证线性度的指标要求。
表3 是在2605MHz 频点,7.5dB 峰均比以及3*20MHz LTE 信号测试的数据,图6 和图7 是在38dBm 输出功率时测试的初始邻道功率比和数字预失真处理后的邻道功率比数据,由测试结果可以看出,针对34dBm~38dBm 区间的功率,漏级效率在37.9%~44.41%,数字预失真技术处理后的邻道功率比可以达到-50dBc 左右。此数据可以满足设计指标要求。
表3、2605MHz 频点,7.5dB 峰均比以及3*20MHz LTE 信号测试的数据


图6、初始邻道功率比

图7、数字预失真后的邻道功率比
4、结论
本文是基于Qorvo 公司QPA2705 器件,配合ADI 公司自带数字预失真功能的收发模块,研究并测试了可应用在大规模阵列天线基站中的高集成度的功率放大器模块,在2496MHz 到2690MHz 频段范围内,针对34dBm 到38dBm 不同功率量级,通过调整功率放大器漏级供电电压来折中漏级效率和线性度的整体指标要求。
在24V 漏级供电电压的情况下,34dBm 到37dBm 功率范围内,漏级效率在37.9%~44.16%,数字预失真技术处理后的邻道功率比可以达到-50dBc 左右。
在26V 漏级供电电压的情况下,38dBm 功率的漏级效率可以达到44.41%,此时数字预失真技术处理后的邻道功率比可以达到-48. 69dBc。
在28V 漏级供电电压的情况下,37dBm 到38dBm 功率范围内,漏级效率在40.55% -42.33%,此时数字预失真技术处理后的邻道功率比都在-50dBc 以下。
由此看出,QPA2705 功率放大器模块可以应用在大规模阵列天线基站中。
作者:周鹏飞,保石,杨嘉,来自Qorvo公司
参考文献
[1] Waitingfor5Gtechnology, MarkLapedus, June 23, 2016.[2] 5G the Precarious Promise, June 13, 2016.
[3] Howwill5Gwork, MarkLapedus, June23, 2016.
[4] A K Panda, R K Paridd, N C Agrawala and G N Dash, “A comparative study on the high band gap material (GaN and SiC)-based IMPATTs”, in Asia-Pacific Microwave conference, 2007.
[5]SteveC.Cripps.“RFpowreamplifiersforwire-
lesscommunications. 2ndedition”. Theartechhouse microwave library,2006: 290-310.
[6]KorneVennema“, RFPowerworkshop”,June2010.
[7] S. Jee, J. Lee, B. Park, C. Kim, and B. Kim,”GaN MMICboradbanddohertypoweramplifier”, inAsia- Pacific Microwave conference, 2013, pp 603-605.
[8] D.Y.-T.WuandS.Boumaiza,”Amodifieddoherty configuration for broadband amplification using sym- metricaldevices”,IEEE,pp.3201-3213,Oct.2012.
[9] 3GPP TS 36.101 V14.1.0(2016-09).

粤公网安备 44030902003195号