概述
巴伦 (英语为“balun”,由balanced(平衡)”的前三个字母“bal”与“unbalanced(不平衡)”的两个字母“un”组合而成)为一种三端口器件,或者说是一种通过将匹配输入转换为差分输出而实现平衡传输线电路与不平衡传输线电路之间的连接的宽带射频传输线变压器。巴伦的功能在于使系统具有不同阻抗或与差分/单端信令兼容,并且用于手机和数据传输网络等现代通信系统。
功能
巴伦具有如下三项基本功能:
1. 将电流或电压从不平衡转换至平衡
2. 通过某些构造进行共模电流抑制
3. 通过某些构造进行阻抗转换(阻抗比不等于1:1)
巴伦分为多种类型,其中的某些用于阻抗转换,还有某些用于连接具有不同阻抗的传输线。阻抗转换巴伦可实现阻抗匹配、直流隔离以及将平衡端口与单端端口匹配。共模扼流圈因为可消除共模信号,因此在某种意义上说也是一种巴伦。巴伦用于推挽放大器、宽带天线、平衡混频器、平衡倍频器及调制器、移相器以及任何需要在两条线路上传输幅度相等且相位相差180度的电路设计。
用途
巴伦的最常见用途为将不平衡信号连入用于长距离传输的平衡传输线。与采用同轴电缆的单端信令相比,采用平衡传输线的差分信令受噪声和串扰的影响更小,可使用更低的电压,而且成本效益更高。因此,巴伦可用作本地视频、音频及数字信号与长距离传输线之间的接口。巴伦的用途包括:
– 无线电及基带视频
– 雷达、发射机、卫星
– 电话网络、无线网络调制解调器/路由器
原理
巴伦的理想S参数如下:
S12 = – S13 = S21 = – S31
S11 = -∞

巴伦的两个输出幅度相等,相位相反:
– 在频域中,这表示两个输出之间具有180°的相位偏移;
– 在时域中,这表示一个平衡输出的电压为另一平衡输出的负值。
此外,两条线路当中的一条的导体须明确接地。
举例而言,平衡线路由电位幅度相等且相位相反的导体构成。由于微带线和同轴电缆采用不同尺寸的导体,因此可谓不平衡线路。巴伦的设计目的正是在于解决此类不平衡线路导致的问题——巴伦可在电流以相反相位传输的平衡(或差分)传输线与返回电流经地下传输的不平衡(或单端)传输线之间转换。
在同轴电缆内部,由于内导体与屏蔽层内侧的电流所产生的电场局限于此两者之间的空间内,因此该两电流幅度相等且相位相反。与此同时,趋肤效应使得屏蔽层外侧产生另一电流,当该电流较大时,可使得作为馈电线的所述同轴电缆成为天线,向外辐射强度与电流大小成正比的电磁场。由于同轴电缆具有对称的物理结构,而且其内部两导体上的电路幅度相等且相位相反,因此其内部结构本身产生的辐射极小。然而,某些因素可破坏其两导体内的电流平衡(即破坏“幅度相等,相位相反”这一状态),在此情况下,该馈电线内部也将如屏蔽层外侧的电流一样产生较大电磁辐射。这一不平衡现象将导致方向图扭曲,干扰以及损耗。
为具体应用确定巴伦种类时的关键规格参数包括:
- 频率覆盖范围
- 相位平衡度
- 幅度平衡度
- 共模抑制比
- 阻抗比/匝数比
- 插入损耗及回波损耗
- 平衡端口隔离度
- 直流/对地隔离度
- 群延迟平坦度
巴伦性能指标
巴伦分为多种类型,微波射频设计中使用的巴伦类型取决于所需的带宽,工作频率以及该设计的物理结构。大多数巴伦内部通常含有两根相互绞合后缠绕于磁性或非磁性芯体上的绝缘铜线。
为特定应用确定巴伦种类时的关键规格参数包括:/strong>
- > 频率覆盖范围
- > 相位平衡度
- > 幅度平衡度
- > 共模抑制比
- > 阻抗比/匝数比
- > 插入损耗及回波损耗
- > 平衡端口隔离度
- > 直流/对地隔离度
- > 群延迟平坦度
相位平衡度
巴伦的一项重要标准指标为其平衡性,即两个平衡输出(一个为反相180°输出,另一个为非反相输出)与“功率水平相等,相位相差180°”这一理想状态的接近程度。两个输出之间的相位角度差与180°的偏离程度称为巴伦的相位不平衡度。
幅度平衡度
该项指标由巴伦的结构和线路匹配程度决定,通常以dB为单位。幅度平衡是指输出功率的大小之间相匹配,两输出功率大小之间的差值称为幅度不平衡度,单位为dB。一般情况下,幅度平衡度每提高0.1dB,或相位平衡度每提高1°,则共模抑制比(CMRR)将提高0.1dB。
共模抑制比(CMRR)
当具有相同相位的两个相同信号注入巴伦的平衡端口时,可能会产生发射或接收两种不同的结果。CMRR是指该信号从平衡端口传输至不平衡端口的过程中所发生的衰减量,单位为dB。CMRR由此两信号的矢量相加结果决定,而该矢量相加结果进一步取决于巴伦的幅度平衡度和相位平衡度。
阻抗比/匝数比
不平衡阻抗与平衡阻抗之比通常以1:n表示。差分阻抗为平衡信号线路之间的阻抗,而且为信号线路对地阻抗的两倍。匝数比为磁通耦合巴伦变压器的一项参数,其表示该变压器初级绕组匝数与次级绕组匝数的比值。匝数比的平方等于阻抗比,比如当匝数比为1:2时,阻抗比为1:4。通过磁通耦合变压器,可设计出高阻抗比的巴伦。
插入损耗及回波损耗
差分插入损耗越低,共模回波损耗越高,则表示通过巴伦的插入信号功率越大,动态范围越宽,信号失真度越小。在无隔离的理想巴伦中,共模信号可以0dB的回波损耗完全反射,而差分信号则以-∞的回波损耗完整通过。
平衡端口隔离度
平衡端口隔离度是指从一个平衡端口至另一平衡端口的插入损耗,单位为dB。由于大部分巴伦将偶模反射而出,而非以电阻性负载对其进行适当端接,因此其平衡端口隔离度并不高。一种例外情形为180°混合电路,该电路将偶模输出至可以电阻方式端接的端口。
基本类型的巴伦
微波射频设计中使用的巴伦类型取决于所需的带宽,工作频率以及该设计的物理结构。差分功率分配用途中可使用的巴伦类型为变压器巴伦、电容和/或磁耦合传输线巴伦、混合耦合器巴伦,而且此类巴伦还可用于功分器及逆变器联用的情形中。巴伦的用途广泛,下至单端信号和差分信号之间的转换,上至模式噪声和信号的消除。对于巴伦而言,最重要的特性为其功率平衡度和相位平衡度。
磁通耦合变压器巴伦为最常见的一类巴伦,其基本上由磁芯及缠绕于磁芯上的两条不同导线构成,其中,通过将初级绕组的一侧接地,在初级侧产生不平衡条件,并在次级侧产生平衡条件。次级侧匝数与初级侧匝数之比可任意设置,从而产生任何所需的阻抗比。磁通耦合巴伦变压器次级侧产生的交流电压n倍于初级侧的电压,且电流相应地为初级侧电流的1/n,从而如上所述,产生n2倍的输出阻抗,其中,n为次级侧匝数与初级侧匝数之比。
上述绕线式磁通耦合变压器的次级绕组中通常设有接地的中心抽头,这一设计可改善输出平衡性。
举例而言,磁通耦合变压器最适合的工作频率为1GHz以下,当在更高频率下工作时,常发生耦合损耗。在微波频率下,变压器内的磁性材料的损耗角正切较高,因此导致较大的信号损耗。因此,通常由缠绕于磁芯上的双路传输线构成的电容性耦合传输线巴伦,如瓜内拉(Guanella)巴伦通过低频磁耦合与高频电容性耦合解决高频下的上述问题。

微波应用中经常使用的一种巴伦为马相(Marchand)巴伦。《各类螺旋巴伦》这一视频对交缠、对称及Marchand螺旋巴伦的概况以及GaAs MMIC平面螺旋巴伦的设计和模拟结果进行了介绍。
经典变压器巴伦
经典变压器也称隔离变压器,其内具有两个缠绕于变压器芯上的独立线圈绕组,该芯既可以为空(空气芯),也可由陶瓷等磁性中性材料、磁导体或软铁构成。其中,初级绕组接收输入信号,而次级绕组输出转换后的信号。在理想的变压器中,无论如何变化,电压与电流的比值永远与绕组匝数比的平方成正比,而且功率(单位为瓦特)永远保持不变。
优点:由于输入绕组和输出绕组之间电气隔离,因此该巴伦可用于连接地平电压存在接地回路问题或电气不兼容问题的电路。
自耦变压器巴伦(电压巴伦)
自耦变压器巴伦具有一个线圈,或具有两个或两个以上的线圈,这些线圈的电接线也缠绕于铁氧体棒芯或环芯上。当仅有一个绕组时,该绕组两端之间必须设置至少一个额外的电气接头或分接点。在该巴伦中,通过一对电连线输入的输入电流起到初级线圈的作用,并用于芯体的磁化。
优点:与其他变压器类型的巴伦不同,自耦变压器巴伦所有末端均可将直流电流接地。
传输线变压器巴伦(扼流圈巴伦)
此类型巴伦有时也称电流巴伦,其可保证两个输出端的输出电流相等,但输出电压不一定相等。同轴电缆内部的电流大小相等且相位相反,因此其所产生的磁场强度相等且方向相反,而且在大部分情况下可相互抵消。当将变压器巴伦与传输线变压器巴伦组合时,可实现极宽的工作带宽。人们常将Guanella传输线变压器和巴伦组合用作阻抗匹配变压器。
优点:扼流圈巴伦可防止额外电流通过电感阻抗沿传输线回流。
延迟线巴伦
延迟线巴伦连有其上不设任何变压器件且具有特定长度的传输线,通常用于较窄的频率范围,其中,所连的传输线长度为该传输线介质内目标频率的四分之一波长的倍数。此类巴伦例如用于同轴连接向平衡天线的转接。
优点:产生180°的相位偏移且提供平衡输入。
自谐振巴伦
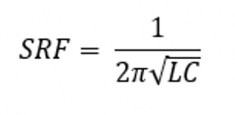
在物理材料制成的变压器中,初级绕组和次级绕组之间以及各绕组内的线匝之间存在少量的电容,这些电容形成了人们所不希望的自电容或寄生电容。当巴伦内的自感和自电容的电抗大小相等且性质相反时,将发生谐振。当在等于或高于谐振频率的频率下工作时,任何设计类型的巴伦均表现不佳。巴伦设计时一项考量为尽可能使得其谐振频率远高于工作频率。随着频率升高,寄生电容的阻抗逐渐减小,直至在自谐振频率(SRF)下与理想电感的阻抗相等。

因此,上述电感的作用如同以自谐振频率为临界值的电感器一样,一旦超出该值,阻抗便即急剧上升。而且,该电感器可作为对自谐振频率附近的信号进行衰减的扼流圈。

粤公网安备 44030902003195号